Bei der Interpolation wird ein unbekannter Wert einer Funktion zwischen zwei bekannten Werten geschätzt.
Wenn zwei bekannte Werte (x 1 , y 1 ) und (x 2 , y 2 ) gegeben sind, können …
Oft möchten Sie eine Zufallsstichprobe aus einem Datensatz in Excel auswählen. Glücklicherweise ist dies mit der Funktion ZUFALLSZAHL() einfach, die eine Zufallszahl zwischen 0 und 1 generiert.
Dieses Tutorial enthält ein schrittweises Beispiel für die Verwendung dieser Funktion zur Auswahl einer Zufallsstichprobe in Excel.
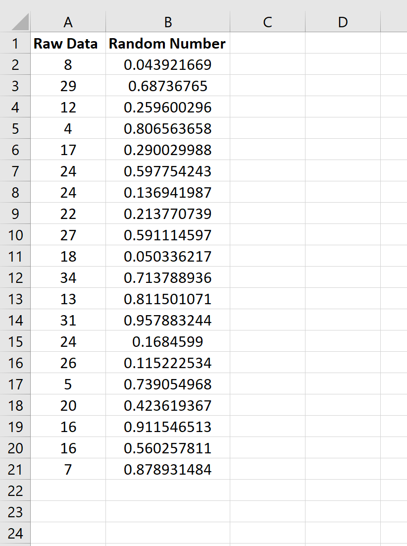
Geben Sie zunächst die Werte Ihres Datasets in eine einzelne Spalte ein. In diesem Beispiel geben wir 20 verschiedene Werte in Spalte A ein:

Geben Sie als Nächstes = ZUFALLSZAHL() in Zelle B2 ein. Dies erzeugt einen zufälligen Wert zwischen 0 und 1.
Bewegen Sie den Mauszeiger über die untere rechte Ecke der Zelle B2, bis ein kleines + angezeigt wird, und doppelklicken Sie dann. Dadurch wird die Formel = ZUFALLSZAHL() in alle verbleibenden Zellen in Spalte B kopiert:

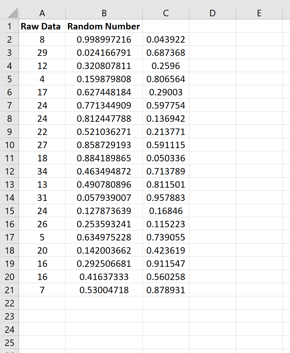
Markieren Sie als Nächstes die Werte in Spalte B und klicken Sie auf Strg + C. Dadurch werden alle Werte kopiert. Klicken Sie anschließend mit der rechten Maustaste auf Zelle C2 und wählen Sie Werte einfügen.
Beachten Sie, dass sich die Werte in Spalte B möglicherweise ändern, wenn Sie dies tun. Machen Sie sich darüber jedoch keine Sorgen.

Zuletzt markieren Sie die Werte in Spalte C und ziehen Sie sie, um die Werte in Spalte B zu ersetzen.
Ein Popup-Fenster mit der Aufschrift „Hier sind bereits Daten vorhanden. Möchten Sie es ersetzen?" Klicken Sie auf OK.

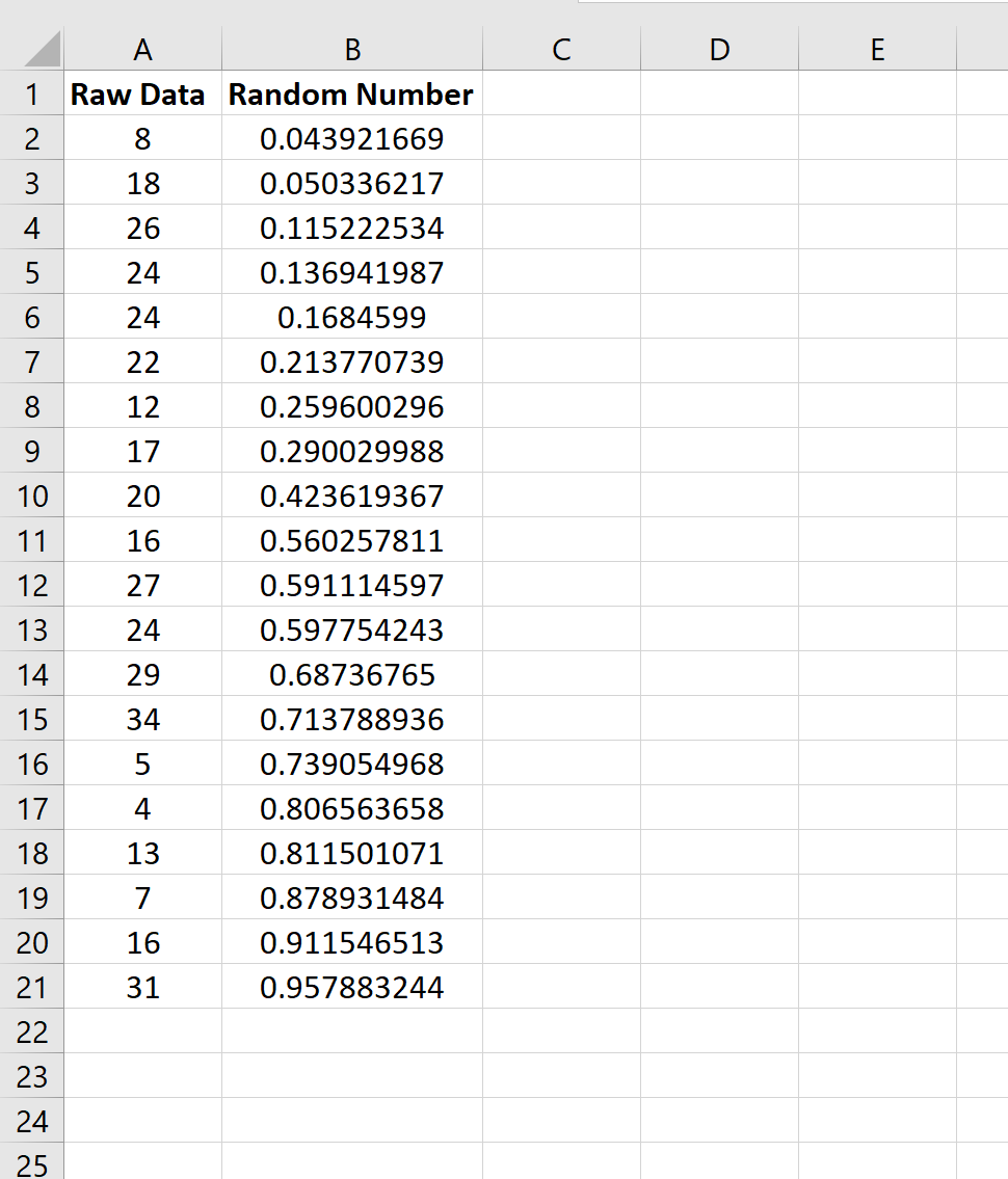
Markieren Sie als Nächstes die Zellen A1:B21. Klicken Sie dann auf die Registerkarte Daten entlang der oberen Band, klicken Sie dann auf Sortieren in dem Sortieren & Filtern Abschnitt. Sortieren Sie die Werte nach der kleinsten bis größten Zufallszahl.
Die Werte werden anhand der Zufallszahl vom kleinsten zum größten sortiert:

Zuletzt wählen Sie die ersten n Zeilen aus, die in Ihrer Zufallsstichprobe enthalten sein sollen. Wenn Sie beispielsweise eine Zufallsstichprobe der Größe 5 wünschen, wählen Sie die ersten 5 Rohdatenwerte aus, die in Ihre Stichprobe aufgenommen werden sollen.
In diesem Beispiel würde unsere Zufallsstichprobe die ersten 5 Werte enthalten: 8, 18, 26, 24, 24.

Bei der Interpolation wird ein unbekannter Wert einer Funktion zwischen zwei bekannten Werten geschätzt.
Wenn zwei bekannte Werte (x 1 , y 1 ) und (x 2 , y 2 ) gegeben sind, können …
Gelegentlich möchten Sie möglicherweise die 10 wichtigsten Werte in einer Liste in Excel finden. Glücklicherweise ist dies mit der Funktion KGRÖSSTE(), die die folgende Syntax verwendet, einfach zu bewerkstelligen:
KGRÖSSTE …